[Source:
] All lectures & exercises here:
http://ureddit.com/class/36451
http://ureddit.com/class/36451
Introduction to Category Theory 1:
Course Overview:
Category Theory = Abstract Algebra of Functions
Lambda Calculus = Calculus of Functions
Lambda Calculus = Category
History:
$latex cap bigotimes$
Introduction to Category Theory (2) Monoids 么群
Introduction to Category Theory (3)Real lecture begins from here: Categories, Functors, Natural Transformation:
1. Category Definition:
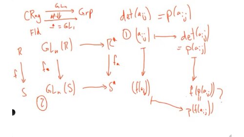
Excellent example on “Natural Transformation“:
Ref: Classic Textbook







