Author: tomcircle
Math Rigor

Rigorous proof (O-level Math but Modern Math technique) by reductio ad absurdum (反证法).
【一道题检验你是否具有数学思维(视频版) – 今日头条】
Physics proves Maths
He applied Physics (flux ) Gauss Divergence Theorem ‘DIV’ operator to get the derivative of Volume = Surface Area “
👍 That’s beautifully an example of using Physics to prove Math.
金庸武林江湖与数学江湖
金庸武术的道理 和学数学一样:
1)华山正邪二派 : 气宗 (正) vs 剑宗 (邪)
数学:数学理论 vs 刷题技巧
2)虚竹 :忘掉以前的少林功夫才能学 消遥派
数学: 忘掉A-level 前的思维 (concrete) ,才能学好大学抽象(Abstract ) 数学.
3) 少林寺僧好高鹜远:还没学精本派“一阳指”,就想去换 印度鸠摩罗的功夫。
数学: 先打好 大学基础数学 (Epsilon-Delta, Abstract Algebraic Structures) ,才去学其他的高深东西 (Category, Differential Geometry, Algebraic Topology,… )
金庸的武林江湖 宗师 vs 数学江湖
东邪(孤僻冷漠) :黄药师 vs 德国. Gauss
西毒 (妒忌,狠毒) :欧阳锋 vs 法国. Cauchy (迫害 年轻天才 Abel, Galois )
南僧(避世隐士): 大理国王 一灯大师 vs 法国.Fermat
北丐 (流浪天涯):洪七公 vs 匈牙利. Paul Erdos
Feymann Calculus Trick
理查德·费曼非常聪明的求导 differentiate 技巧
Feymann (Nobel Physicist) has many funny speedy Math tricks for Calculus eg. Differentiate an Integral (Applied Fundamental Theorem of Calculus) , and this one below.


Princeton 《Calculus Lifesaver》



This is a free video lecture series of the Princeton Math Textbook 《Calculus Lifesaver》(link Amazon.com) for university non-math majors.
He explains the “funny” but smart Calculus basics : First & 2nd Fundamental Theorems of Calculus (by Newton’s co-inventor Leibniz), some how never taught in the 1970s GCE A level (now also ? ) bcos not Newton’s Anglo-saxxon invention. Neither the French textbooks teach so (bcos Leibniz was German ?). They only appear in pure American/German Calculus books.
“Funny” bcos by “1st Theorem” you could ‘d/dx’ any intergral to get the anti-derivative . Richard Feymann self-learnt this trick in High school to solve complex integrations.
Also why the “Coset” (+ C) is explained by the 2nd Theorem in this video.
Coset & Index 陪集,指数

群论的原本是Galois 发明,没有现在这么抽象的Axiom-based, 是100年后 Noether 在 WW2 归纳的抽象化。Galois 只发明 左/右陪集 Left /Right Coset (l’ensemble à gauche / à droite),当 左陪集=右陪集,就是Normal subgroup (正规子群,l’invariant), 破解300年的数学难题:5次方程以上(Quintic equations & above ) 无根式 (radical root) 解, 从而诞生Group Theory, 开辟抽象代数Abstract Algebra / New Math.
这位中国年轻老师 教得很棒, 证明严谨rigorous, 很好的方法:eg. Test “well-defined”, necessary & sufficient condition (Set Prove Technique : ⊂ left inclusion, ⊃ right inclusion, then equal =), Bijection 双射 (Surjective 满射 trivial + Injective proof).

他的习题答案:
|Z : nZ|Index is easy ?
意思:
把 Z 用coset 分类 (partitioned) 为
0Z,1Z, 2Z,… (n-1)Z 个陪集,
Total = n个
|Z : nZ|= n
Note: Coset in Calculus ( Indefinite Integration) :

Integral Solution “+ C” 就是 Right Coset = solution的右陪集:意思所有 “+C” 都是solution Set 的 右陪伴。
Microsoft Math Solver
Math Education Video : The Age of Big Data
Good education video for students on Maths applied in Big Data.
Leibniz’s original proof : Integration by Parts
莱布尼茨微积分——
Leibniz’s original proof : Integration by Parts (分部积分公式”)

函数概念并不难,理解“函”字是关键——函数概念如何理解】
【函数概念并不难,理解“函”字是关键——函数概念如何理解】
https://m.toutiaocdn.com/group/6714162037842248205/?app=news_article_lite×tamp=1563301386&req_id=201907170223060101520450386849493&group_id=6714162037842248205&tt_from=android_share&utm_medium=toutiao_android&utm_campaign=client_share
清. 李善兰 翻译 Function 为函数。函,信也。只能有一个收信人,所以 只有一个 f(x) 值。

…
The unique 1 single output of a function becomes very important for subsequent development in Math & IT:
functions are composable, associative, identify function,etc (distributive,… ) => it can be treated like vector => structure of a Vector Space “Vect”
Extended to..
“Vect” is a bigger structure “Category” in which “function of functions” is a
“Functor” (函子)F:F(f)
Example : F(f) = fmap (in Haskell)
fmap (+1) {2,7,6,3}
=> {3,8,7,4}
here F = fmap, f = +1
The Math branch in the study of functions is called “functional” 泛函。

IT : Functional Programming in Lisp, Haskell, Scala, ensure safety of guaranteed output by math function property. Any unexpected exception (side effects: IO, errors) is handled by a special function called “Monad” (endo-Functor).
(想看更多合你口味的内容,马上下载 今日头条)
http://app.toutiao.com/news_article/?utm_source=link
长方形妙证三角函数的转化
一个数学家的叹息
This American Math educator proposes teaching Primary/Sec math in new ways :
- HISTORY : how human discovered the math ideas
- Do not separately teach Geometry & arithmetics: eg.
1+3+5+7 =16=4^2 - Have fun of Math thru discovery by students, not by remember formula.
- Intuition 直觉 : use more
…
科普数学教育家 :林群
Napoléon Triangle Visual Proof
Cédric Villani
Mathematician Cédric Villani (Fields Medal) is a MP in President Macron’s young party “En Marche”.
He introduced “Singapore Modeling Math” to French primary schools Arithmetic in 2017.
吴文俊 Wu WenJun
吴文俊,陈省身在 WW2昆明西南联大的弟子, 留法Strasbourg University, 兼任 博士生的tutor, 教导 法国未来的 大师Grothendieck (两人都是新数Bourbaki 学派 最后一批会员) 。
吴文俊在1975 文革后才研究 中国古代数学,从中得灵感,发明 电脑 机器化 AI 证明axiom-based 几何定理。得 1st batch Run- Run Shaw (东方Nobel Prize) $1 m Prize.
数学家清心寡慾不爱斗争,一心专注 “数学之美” ,其他生活繁琐的事(文革 批斗) 都看得开。所以多长寿 (Newton, 陈省身, Hadamard, 杨振宁, 也都90+) ,吴文俊也高寿活到98岁。
French Baccalaureate Math Paper 2 (Analysis)
【「给我进来做题啦!」法国高考数学题难度如何?居然只有四道题?】
Baccalaureate Scientifique Math 2019 (Analyse).
Yet to see the Baccalaureate (S) Paper 1 “Algèbre” which is tougher on Abstract Algebra (Group, Ring, Field, Vector Space / Linear Algebra,…)
Integrate x^x

The integration is meaningless if
$latex displaystyle {int x^{x} dx}&fg=00aa00&s=3$
unless specifying the domain of defintion, eg. interval [0,1] :
$latex displaystyle {int_{0}^{1} x^{x} dx = frac {pi^{2}}{12} }&fg=aa0000&s=3$
Note: Gamma function proof by Feynman trick : differentiate under integral.


DEMO:
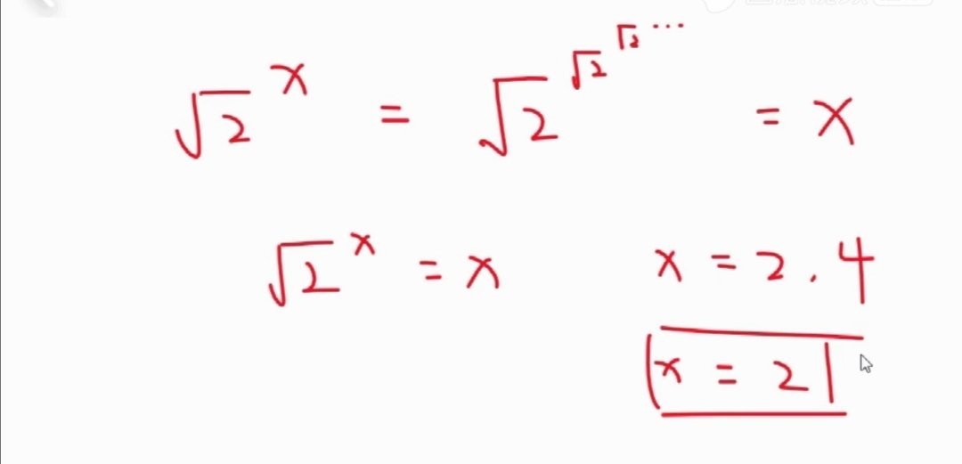
a^a^a^… a
$latex boxed{a = a^{a^{a^ {{…}^{a}}}}}&fg=aa0000&s=3$ $latex text {…. [A] } $
$latex text {Let } a = sqrt {2} $
Method…: Wrong !!!

Method 1 : Rigorous!
1) Prove [A] Convergent ?
2) If converge, find Limit ?
Method 2: by RMI Homorphism


View original post 1 more word
祖暅定理

Modern Math Education : Time for Reform

Modern Math Foundation : Set + Logic (Equivalence Relation).
A level (H2 level) / International Baccalauréat Math should study the big red square box (Number System, Set Theory, Logic).
All STEM university Year 1 & 2 study these 3 Math foundations : Algebra, Analysis & Vector Space.
The Math major university Year 3&4 study more : real /complex analysis, Topology, Galois Theory, graph theory, etc…
新数启蒙 (1-5) – 给16岁以上的中学生
This “Modern Math” Introductory Course is based on the French Baccalaureate “Modern Math” for 16+ years old, simplified & customized for local students in Chinese.

(1)集合: 等价关系 Equivalence Relation
(2)集合与集合的关系:映射 Mapping

(3) 新数 历史: Bourbaki 学派

(4)由外向内看代数结构 : 域Field,环 Ring,群 Group,向量空间 Vector Space

(5) 域 Field : 足球场

Chinese 3AD Arithmetics 东晋. 刘徽 《九章算术》更相减损术
Please explain the Number Theory behind this trick :$latex boxed{frac {a } {b}= frac {frac {a}{b-a}}{frac {b}{b-a}}} &fg=aa0000&s=4$
Example: $latex 246 – 205 = 41$
$latex boxed {frac {205} {246}= frac {frac {205}{41}}{frac {246}{41}}=frac{5}{6}&fg=0000aa&s=3}$
…
Example:
27759 – 10227 = 17532 = 2 x 8766 = 2 x (2 x 4383) = 2 x 2 x (3 x 1461) = 2 x 2 x 3 x (3 x 487 )
$latex boxed {frac {10227} {27759}= frac {frac {10227}{1461}}{frac {27759}{1461}}=frac{7}{19}&fg=00aa00&s=3}$
Explanation:This method is from《九章算术》295AD 刘徽(曹魏/东晋),he invented the “Limit” 割圆法 method with 95-polygons to get the world’s best pi = 3.1416
https://zhidao.baidu.com/question/109475024.html
更相减损术证明:
Bézout’s Theorem :
For a, b CO-PRIME, ie gcd (a, b) = 1
There exist integersxandysuch thatax+by= 1

【数学科普】:函数概念的四重境界 Bourbaki Definition of “Function”
为啥法国数学这么强,平民的算数这么烂 ?


结账的算数:€ 313.5
华人:[给] €323.5 – [找] €10 =€313.5
法国人: [给] €320 – [找] ?=€ 313.5
{? =€ 6.5 是这样算的 :313.5+0.5 [凑整]=314.0, 然后 314+6=320,得[找] 0.5+6 =6.5}

Proof Pi Irrational
“这个人”并不存在,但他却是20世纪最伟大的数学家之 – Bourbaki
Geometry Proof : Sum of Squares
Function Continuous =>? Differentiable
【高等数学】变限积分与变量分离
This young Chinese Math student is quite rigorous :
Given f(x) CONTINOUS function,
Is it wrong to f'(x) right away?

Differential Theorem
Differential Theorem
If f differentiable at point a => f continuous at point a
Converse not true !
‘Differentiability’ stronger than ‘Continuity’
Are all Continuous functions Differentiable ? False!
Counter-example (by Weierstrass):
$Latex f(x)=Sigma{b^n}cos(a^npi x)$ n ∈[0,8], a= odd number, b∈[0,1], ab > 1+3Π/2
f(x) Continuous everywhere (cosine), but non-differentiable everywhere!
Note: Weierstrass Function is the first known fractal. (e.g. Snowflake Koch’s curve).
Plot of Weierstrass Function (Photo credit: Wikipedia)
Note: What it means a curve (function) is :
1. Continuous = not broken curve
2. Differentiable = no pointed ‘V‘ or ‘W‘ shape curve
吴军《数学之美》:数学模型帮您实现认知跨越
20CE 中学数学教育 (陈建功)
20世纪(1950s -1970s)的中国数学教育改革是迎合WW2 战后工业化, 影响我们中学数学 Secondary School Math (13-18 岁) 。
21世纪 (2000s – 2030s) 迎合的是 工业 4.0 (AI, Big Data, IoT, Fintech… ),中学数学改革 是什么呢?
陈建功 (1893-1971) 和 师弟 苏步青是二战前 留学日本派的数学教育家 (微分几何),建立浙江大学和复旦大学数学系 – 与 陈省身 的 留法/德/美 “南开”派,华罗庚的留英/俄 “清华” 派 三派鼎立,融合成特有的 中国数学派 。
这三本数学(中三/中四)书是我们 70s年代 新加坡华文中学的课本 (文言文) :
- 欧氏几何 (Euclidean Geometry)
- 范氏大代数 (Henry Fine [*] Algebra)
- 葛氏平面三角 (Granville Trigonometry [#])
Note [*]: Henry Fine was the Founder of the Princeton Institute of Advanced Study (IAS) , who hired the first professor – Albert Einstein.
[#]This 《葛氏平面三角》(Granville Trigonometry) text book was arcane and translated in ‘old’ Chinese (文言文).




Jewish / French Math vs German Math
The French “Bourbaki” School of Abstract Math (based on Set Theory as Foundation of ALL Math) influenced the…
View original post 124 more words
日本战后数学教育家 远山启
远山启:用数学照亮人性与自由



日本战后的"新"数学:把抽象化转成 平易化。出了一群 Fields Medalists, 数学教育家 (这位 远山启,Shimura, ), 科普作家 结城浩 (《Math Girls》Series : Galois Theory, Fermat’s Last Theorem, etc. )…
O-level Math: Exponential
丘成桐:我研究数学的经验
丘成桐:我研究数学的经验
‘路漫漫其修远兮,吾将上下而求索‘ – 屈原 《离骚》(340BC)
丘成桐:我研究数学的经验
‘路漫漫其修远兮,吾将上下而求索‘ – 屈原 《离骚》(340BC)
第一个华人拿 Fields Medal, 而且世界上少数人27岁得奖,ST Yau (岳 – 山=丘) 的成功不是偶然:
- 在香港中文大学遇到美国人年轻数学讲师,引导他进"数学之大门",并推荐他去美国拜他的教授 陈省身 ( 微分几何 的 “Gauss II” 宗师) 读PhD。
- 14岁前父亲给他打下古文学/哲学的基础,”真/善/美” 艺术的直觉 Intuition, 对高深数学理解有大帮助。
- “Read directly from Masters” (Abel 说的) . 读经典原著。
- 多听别人的讲座,多看 journal papers. “抛砖引玉”,“他山之石可以攻玉”。Get inspiration from others.
- 高中/ undergrad 基础功夫要打好,Algebra, Analysis, Geometry, Physics ,都要 “懂” (只有多作习题才知道)。
如何学数学 How to Learn Math
林群院士:

道理 (X 定理)
发明 (X 证明)
林群院士 评学校数学教法颠倒:不教 "道理"(Intuition ) 只教 定理,不教 “发明” 的背景(Discovery background)只教”证明” (Proof) 。
他的数学教法 强调 “all maths go back to the fundamentals.”
He has redefined the abstract “Cauchy ε-δ definition of a limit” in terms of only elementary maths (trigonometry, inequality, gradient).
化学:金属活动性顺序表
中三化学刘老师教我们背这个金属活动性顺序表, 排前面的元素比排后面的活跃,写化学反应方程式时,非常有用。基本上整个 Physcial Chemistry 就是浓缩在这表里,朗诵上口,终身难忘,50年后还记得!- 化学靠记忆,用中文学化学最方便 。(我在法国精英大学 Classe Preparatoire 念化学,打败全班法国人得第一名,中学用中文读化学的基础, 功不可没。)
钾 钠 钙 镁 铝 锌 铁 锡 铅 (氢)
K Na Ca Mg Al Zn Fe Sn Pb (H)
[嫁 那 个 美 女 身 体 细 倩 (轻)]
铜 汞 银 铂 金
Cu Hg Ag Pt Au
[统 供 一 百 金]

数学历史大纲by丘成桐
28 Dec 2019 @中国科学技术大学研究生院
Key Points:
- 中国数学从古到今只注重计算和解题,没有提出自己的问题。 (这是 科举 /Concours / 高考 / IMO Math Olympiad 的心态mindset)。大问题: eg. 法国人 Group Symmetry, Cauchy’s Limit, Poincare Topology, 英国Newton / Leibniz’s Calculus, Russell’s Logic, 德国 Cantor’s Set Theory, Infinity,…
- 清朝数学家花200+年 考古研究古代中国数学 (《九章算数》… ), 这时西方文艺复兴开始搞近代数学 (意大利 虚数 i, Fermat 数论,Descartes 解析几何,Pascal 或然率, Newton Calculus,… ) 。中国数学从此落后西方。
- 要读数学历史,尤其是17/18CE Fermat/Newton 之后的近代数学史, 才有宏观思想,继承他们的精神,从而开拓新的领域 (eg. AI 数学: HoTT = Homotopy Type Theory?)
https://m.toutiaoimg.cn/a6864500678341952013/?app=news_article_lite&is_hit_share_recommend=0 - 他选出 41位 17/18世纪之后至今的伟大数学家, 属于开创新领域的宗师:第一个是 Fermat, 第二个是 Newton…. GALOIS, ABEL,… LIE, KLEIN, HILBERT, Minkowski, Riemann, Euler, Gauss, Cauchy, POINCARÉ, Noether, Weyl, E. Cartan, André Weil, 陈省身,丘成桐, Von Neumann, Turing, … [没有 Bertrand Russell, Ramanujian, Hardy, Terence Tao,… ? ]
- 提到重要的数学:Lie Group, Lie Algebra, Guage Theory, Homology, Co-homology, Homotopy, Riemann Geometry, Zeta Function, etc.
- 他将出书写这些数学家的历史。
- [Q&A 1] : 当明白数学来龙去脉,才知道历史,看未来发展。司马迁写《史记》,司马光 写《资治通鉴》的目的:以古鉴今!
- [Q&A 2] : 数学读得越多,一切数学就变得简单。(这跟学厨艺,钢琴等一样,起初一切都难,但练习煮/弹得多,就越来越容易上手,而且能够创新,举一反三)。40年前在法国大学读抽象代数(Abstract Algebra) 满头雾水,考试心生恐惧。15年前温习并读其他更多的数学书, 顿然开窍,现在爱不释手。
《Galois Theory》 – Cousera by Ecole Normale Supérieure
Complete Free COUSERA Course 《Galois Theory》 (French) from Ecole Normale Supérieure (ENS 巴黎师范) , the university which kicked out Galois as a student in1830, but apologized to him 150 years later.
Today ENS ranked top 3 globally (after Harvard, Princeton IAS) in Math research & education, producing 1/3 of the world’s Fields Medalists by a single university.
For English Text translation (choose Google translate)
IMO Coach : Drill vs Think Style
The USA IMO coach Prof Loh is the son of 2 Singaporean Math Prof (dad) & JC Math teacher (mom).
He uses the Chinese “drill” style + American “think” style to beat China IMO Team last few years.
The Great American Math Teacher 《Stand & Deliver 》
Silver Ratio, Bronze Ratio… A general “Golden Ratio”
These 2 smart Singaporean students invented “Silver Ratio” , “Bronze Ratio” … equally good as the Golden Ratio.

Recap: Golden Ratio



https://plus.maths.org/content/silver-ratio


Without Leap Year 29/2, Winter would become Summer
Music = Math + History
To really appreciate music, you must understand this Math & history :
5 notes to 7 notes to 12 notes.
& fractions: 3/2, 3/4, 2/1 (octave)
Music = Math + History
1. Ancient China 600 BC 管仲 (5 notes 宫商角徵zhǐ羽)
2. Pythagoras 450 BC (7 notes, Chords 和弦)
3. Modern Music: 十二平均律 (明朝 1600 AD 朱载堉- > Bach 1700 AD)
Pythagoras did not believe in Irrational numbers (sqroot 2) , so only 7 integer notes.
17CE Chinese 明朝 Prince invented 12 notes music, using a giant 81-row Abacus to compute the12th root of 2 (picture below) :
https://chinoiseries2014.wordpress.com/2019/02/07/%e5%8d%81%e4%ba%8c%e5%b9%b3%e5%9d%87%e7%8e%87/
Ideal in Ring
Historical Background:
Ideal (理想) was a by-product by mathematicians in the 350-year proof of the 17CE Fermat’s Last Theorem, wherein they found a violation of the existing “Fundemental Law of Arithmetic” (Unique Prime Factorization) . Since it is a Law, there must be an alternative ideal number to satisfy it, hence the birth of the “Ideal”.
Read here: the raison d’être of Ideal : What is an Ideal ?
Note:
Why Integer (Z) is called “Ring” (Dedekind coined it using the German word “Der Ring”) ? because
{1, 2, … , 11, 12 = 0} is clock number “Z/12Z” like a Ring-shaped Clock 🕜
Application:
The ancient “Chinese Remainder Theorem” (aka 韩信点兵 ) since 200 BCE is explained by 19CE Ideal Theory.
[Solve] : “The Problem of 6 Professors”
Whatever inside multiplies outside, still comes back inside.
…
View original post 54 more words
Where to park your car, according to math
This “Simple Car Parking” is the Decision Making Strategy demonstrated in our daily life, even in the micro-cell biological level in nature.
In the current USA-China Trade War, China Xi is taking the Prudent (中庸) approach of a partial 80% deal, while Trump is too Optimistic (or gung-ho) , insisting to accept either a “Full 100%” deal or None. Math tells you the smartest man’s approach is China Xi “Prudent” strategy.
Opportunity Score:
Meek : 1/5 score = ‘Kiasu’ (怕输 )
Prudent : 3/5 score = (中庸 )
Optimist : 5/5 or 0/5 score = (Gung-Ho)
Differential Equation:
https://m.phys.org/news/2019-09-car-math.html

In 三国演义 Three Kingdoms, the smartest military strategist Zhuge Liang (诸葛亮) was attacking the biggest northern enemy Wei (魏). He chose the Prudent (‘P’) route longer distance but less ambushes, rejected his General 魏延 ‘s Optimistic (‘O ‘) approach of taking the risky “子午谷” mountainous but shortest route.
11 of the Best YouTube Channels for Understanding Mathematics
https://interestingengineering.com/11-of-the-best-youtube-channels-for-understanding-mathematics
Below are some of the best and Free Math channels from Secondary School to University to Public Math Enthusiasts.
1. Khan Academy (School Math, Sponsored by Bill Gates)
2. Numberphile (Math Curiosity)
3. WooTube (School Math)
4. Linear Algebra (Undergrad Math)
5. Rigourous French Math (Classe Prepa, Undergrad Math)
Set Theory Basics (Baccalaureate Math Revision)
Espace Vectorielle (French Abstract Version of Linear Algebra)
Rigorous French Math (Classe Prepa)
From poor in math to Quantum Physics
She is a Cambridge PhD in Quantum Computing.
How to learn Quantum Mechanics on your own :
Data Science: 5 Statistics & Math tools
1. MEAN / MEDIUM
2. PERCENTILE
3. SKEWNESS
4. STANDARD DEVIATION
5. PCA = Pricinpal Component Analysis
1. Probability & Statistics
2. Linear Algebra (Matrix, Eigenvectors, Eigenvalues)
3. Optimisation : eg. Gradient Descent, etc.
4. Discrete Math in Computing
(想看更多合你口味的内容,马上下载 今日头条)
http://app.toutiao.com/news_article/?utm_source=link








